
Here are a few basic signals:
Unit step function is denoted by u(t). It is defined as u(t) = $\left\{\begin{matrix}1 & t \geqslant 0\\ 0 & t<0 \end{matrix}\right.$
Impulse function is denoted by δ(t). and it is defined as δ(t) = $\left\{\begin{matrix}1 & t = 0\\ 0 & t\neq 0 \end{matrix}\right.$
$$ \int_{-\infty}^{\infty} δ(t)dt=u (t)$$
$$ \delta(t) = {du(t) \over dt } $$
Ramp signal is denoted by r(t), and it is defined as r(t) = $\left\{\begin {matrix}t & t\geqslant 0\\ 0 & t < 0 \end{matrix}\right. $
$$ \int u(t) = \int 1 = t = r(t) $$
$$ u(t) = {dr(t) \over dt} $$
Area under unit ramp is unity.
Parabolic signal can be defined as x(t) = $\left\{\begin{matrix} t^2/2 & t \geqslant 0\\ 0 & t < 0 \end{matrix}\right.$
$$\iint u(t)dt = \int r(t)dt = \int t dt = {t^2 \over 2} = parabolic signal $$
$$ \Rightarrow u(t) = {d^2x(t) \over dt^2} $$
$$ \Rightarrow r(t) = {dx(t) \over dt} $$
Signum function is denoted as sgn(t). It is defined as sgn(t) = $ \left\{\begin{matrix}1 & t>0\\ 0 & t=0\\ -1 & t<0 \end{matrix}\right. $
Exponential signal is in the form of x(t) = $e^{\alpha t}$.
The shape of exponential can be defined by $\alpha$.
Case i: if $\alpha$ = 0 $\to$ x(t) = $e^0$ = 1
Case ii: if $\alpha$ < 0 i.e. -ve then x(t) = $e^{-\alpha t}$. The shape is called decaying exponential.
Case iii: if $\alpha$ > 0 i.e. +ve then x(t) = $e^{\alpha t}$. The shape is called raising exponential.
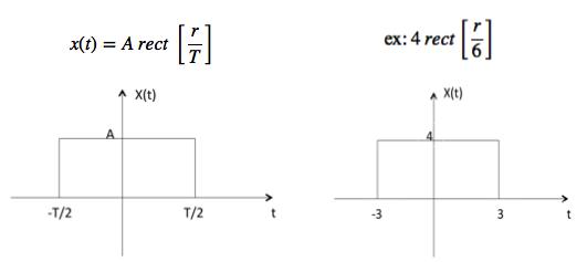
Let it be denoted as x(t) and it is defined as
Let it be denoted as x(t)
Sinusoidal signal is in the form of x(t) = A cos(${w}_{0}\,\pm \phi$) or A sin(${w}_{0}\,\pm \phi$)
Where T0 = $ 2\pi \over {w}_{0} $
It is denoted as sinc(t) and it is defined as sinc
$$ (t) = {sin \pi t \over \pi t} $$
$$ = 0\, \text{for t} = \pm 1, \pm 2, \pm 3 ... $$
It is denoted as sa(t) and it is defined as
$$sa(t) = {sin t \over t}$$
$$= 0 \,\, \text{for t} = \pm \pi,\, \pm 2 \pi,\, \pm 3 \pi \,... $$